一、研究背景
近十年來世界范圍內接連遭受到多次新發、再發重大傳染病的威脅。牙科診所是特別容易受到呼吸道傳染疾病影響的醫療機構之一,牙科診療過程中使用超聲波潔牙機因噴濺可產生大量飛沫,進而轉化為飛沫核以氣溶膠的形式懸浮留存于診室空氣中,如果患者口腔內攜帶血液傳播病毒或呼吸道傳播病毒,這些病毒會以飛沫作為載體在空氣中進行傳播。貴州大學機械學院趙津教授、醫學院楊威教授和貴陽市口腔醫院余曉燕主任組成的聯合課題組,針對現階段潔牙手術過程中引發的飛沫流動機理尚不清楚,造成口腔診療飛沫吸附消殺設備的研制尚未完善,出現飛沫吸附不完全、噪音大、結構設計不符合人機工程學影響醫生手術和患者感受等問題,開展研究。
二、研究內容
為解決上述關鍵科學問題,本課題組以某口腔診室為研究對象,采用PIV實驗結合CFD數值模擬方法對超聲潔牙手術中噴濺的飛沫流動進行研究。初步揭示了超聲潔牙過程中不同操作模式下所引發的飛沫流動特性,所獲得結果對研究其它類型的牙科手術引發的飛沫流動同樣具有借鑒意義,相關研究結果已發表在國際知名期刊《Physics of Fluids》上。

三、研究結果
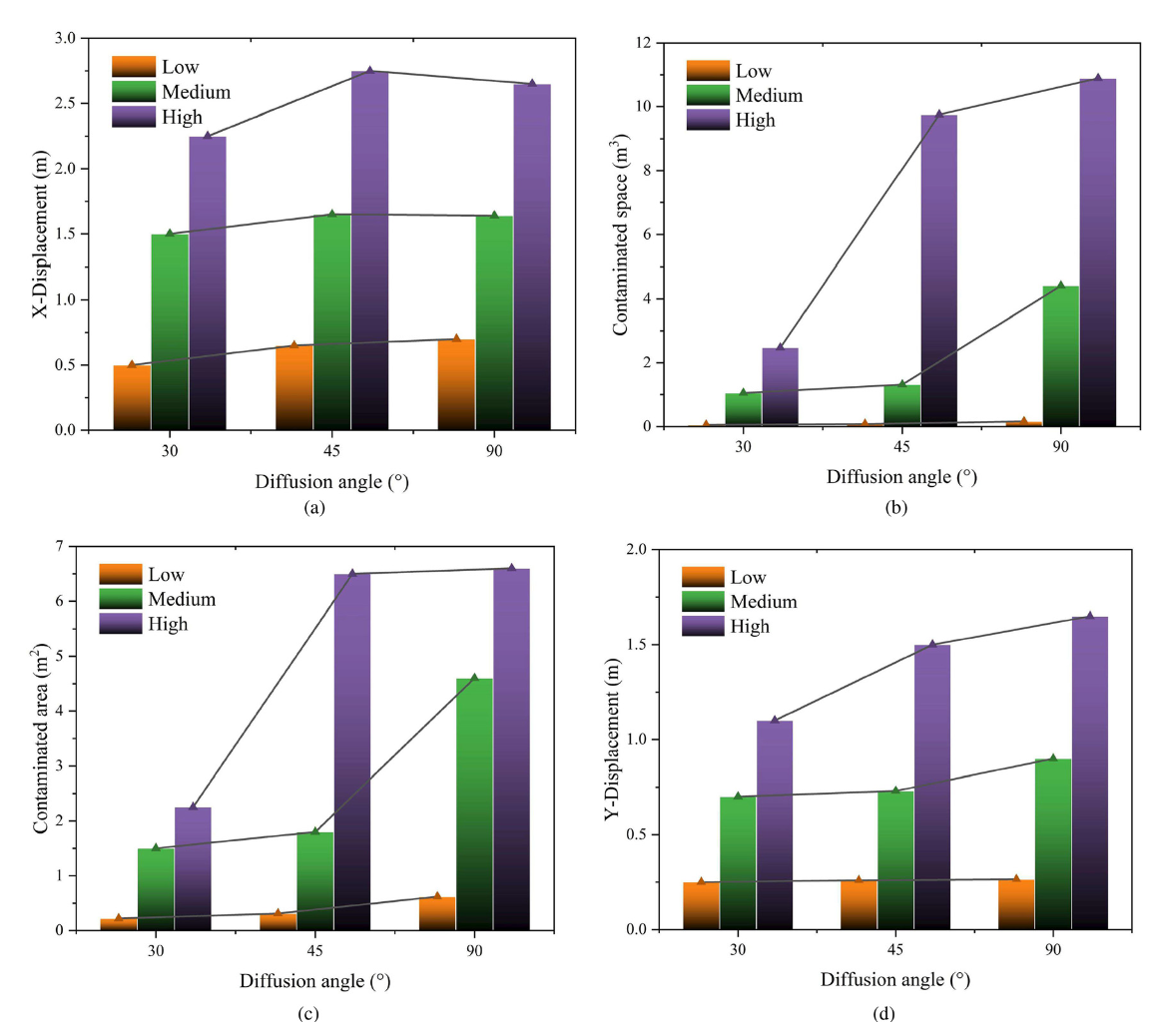
本研究以某口腔診室為研究對象,采用實驗和數值模擬方法對超聲潔牙手術中噴濺的飛沫流動進行研究。研究了超聲潔牙過程中不同操作模式下所引發的飛沫空間流動特性異同,結果表明超聲波潔牙機引發的大飛沫(粒徑>100μm)傳播的危險范圍可至患者周圍2.5m處,飛沫可噴濺可至到患者口腔上方1.5m,診室受污染空間達17.5m3。飛沫噴濺后在患者口腔0.75m內飛沫較集中,小飛沫顆粒(粒徑1-100μm)的飛濺高度可至診室天花板,在空氣中停留時間長污染范圍可擴大至整個診室。飛沫噴濺后到離開患者口腔正前方0.75m處,這一距離內飛沫濃度較為集中。考慮到吸附裝置不能影響醫生在手術中的操作,建議吸附口可以設置在患者口腔正前方0.25-0.75m的區域內。隨著超聲波潔牙機的功率和初始擴散角度的增加,飛沫顆粒造成的的污染區域也會隨著增加,表明潔牙機不同的操作模式對飛沫的空間流動特性有較大的影響。

圖 1. (a) 實驗場景示意圖,包括粒子測速設備、人體模型和超聲波潔牙機;(b) 口腔牙齒分區示意圖,其中口腔內的牙齒被分為六個主要區域;(c) 單顆牙齒分區示意圖,其中每顆牙齒被分為三個表面。(c) 單顆牙齒的分區圖,其中每顆牙齒分為三個表面、腭面、頰面和咬合面;

圖 2 (a) 液滴流動;(b) 液滴流動軌跡圖;(c) 液滴流場計算;

圖 3. 案例 7-9 分別模擬了在大初始噴射角下使用低、中、高功率引發的液滴流動。(a)-(c) 液滴顆粒在空氣中的停留時間;(d)-(f) 不同粒徑的液滴顆粒在空氣中的停留時間;(d)-(f) 不同粒徑液滴顆粒的速度分布;(g)-(i) 液滴顆粒的粒徑分布;

圖 4. 案例 7-9 分別模擬了在大初始噴射角下使用低、中、高功率引發的液滴流動。(a) 液滴的初始噴射速度為 2 米/秒、液滴的初始噴射角為 90;(b)液滴的初始噴射速度為 5m/s,液滴的初始噴射角為 90;以及(c)液滴的初始噴射速度為 8m/s,液滴的初始噴射角為 90。液滴的初始噴射角為 90;

圖 15. 超聲波除垢儀的三種工作條件和三種初始擴散角的不同組合對手術過程中大液滴顆粒的空間流動特性的影響粒子的空間流動特性的影響。(a) 飛濺距離的變化 (b) 污染空間的變化 (c) 飛濺沉積面積的變化 (d) 飛濺高度的變化。
四、創新點與意義
目前針對口腔診療中由動力機械引發的飛沫流動研究還不足,不能為針對口腔診療的飛沫吸附消殺設備的研制提供有力的數據支撐。相比于現有的研究,本研究具有以下的創新:(1)本研究分析了超聲潔牙機不同操作模式對飛沫流動特性的影響。(2)本研究探究了對人體口腔模型內不同牙齒區域進行治療時引發的飛沫流動特性。(3)牙科手術中引發的大飛沫顆粒(粒徑>100μm)產生后會快速沉降,是給周圍醫護人員造成巨大感染風險的重要因素之一,但是現有的研究忽略了這個粒徑范圍的飛沫顆粒。本研究對大顆粒飛沫(粒徑>100μm)的空間流動特性也進行了分析。因此相關研究結果將為口腔診療微生物吸附與消殺裝備研制和針對牙科診室的新型防控意見的制定提供較強的指導意義。
五、作者介紹
| 第一作者: 張帆,碩士研究生,貴州大學機械工程專業。研究方向:流體動力學,醫工結合。 通訊作者: 趙津,教授,博士生導師,現任貴州大學機械工程學院院長、貴州省省管專家、貴州省優秀教師、貴州省普通高校“金師”,貴州省百層次人才等。主要研究領域:智能汽車、新能源汽車、無人裝備、機械系統動力學與控制。主持多項國家自然科學基金、貴州省重大科技專項等項目。獲省教學成果一等獎、省級科技進步二等獎、中國機械行業科技進步三等獎等。 |
| 楊威,教授、主任醫師,現任貴州大學醫學院副院長。長期從事口腔頜面外科工作,研究領域:口腔醫學新材料及新技術。 |
| 余曉燕,主任醫師,從事口腔內科臨床、教學、科研工作。近5年來主持、參與及合作科研項目5項、發表論文6篇、主編專著1部、主持新技術新項目2項。 |




